HOME
ABOUT US
Company
Exhibit
NEWS
PRODUCTS
API
Intermediates
COOPERATION
FEEDBACK
JOBS
CONTACT US
广告二
广告一
API
Ganciclovir&nb...
Famciclovir
Penciclovir
Entecavir
Aciclovir ...
Acyclovir
Dasatinib ...
Intermediates
Valganciclovir...
Flupirtine&nbs...
Flupirtine&nbs...
Flupirtine&nbs...
Tetrahydrothio...
Sitagliptin
Sitagliptin&nb...
PRODUCTS
You are here
Home
PRODUCTS
Intermediates
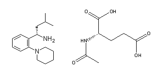
Repaglinide intermediate
Item:
Repaglinide intermediate
Chemical name
:
(S)-3-Methyl-1-(2-(piperidin-1-yl)phenyl)butan-1-amine (S)-2-acetamidopentanedioate
CAS#:
219921-94-5
Formula:
C16H26N2.C7H11NO5
Molar mass:
435.56
Content:
≥
99.0%
Appearance:
White or almost white powder
Mobile:+86-18957903981 Fax:+86-556-5690026 E-mail:1040271294@QQ.com
Add:No.21 Huancheng West Road,Anqing,Anhui Province.Postal Code:246000
Copyright@2016Anqing World Chemical Co., Ltd.
QQ:40745179